PASS NED KARACHI-UET 2025 MOCK TEST # 7

Shape Image One

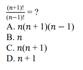
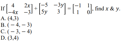
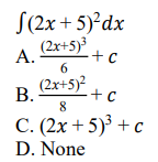
PASS EDUCATION SYSTEM

NED MARATHON QUIZ PAST PAPER MCQ’S

PASS NED KARACHI-UET 2025 MOCK TEST # 7

1 / 150

2 / 150

For any square matrix
+1 =  then it is called
A Symmetric matri

B Periodic matrix
c Rectangular matrix
D None

3 / 150

An arithmetic expression in BASIC may consist of
A A variable
B A function
A constant
D All of the above

4 / 150

In BASIC, a constant can be of the type.                                                                                                                A String
B Numeric
C Numeric or string
D None of the above

5 / 150

The system command used in BASIC for disconnecting user from the computer is
A CHANGE
B END
C GO TO
D BYE

6 / 150

A sequence of characters in reference to BASIC is called a/an
A String
B Series
C Subscript
D Argument

7 / 150

Which of the following is not a command in BASIC
A RUN
B READ
C LIST
D SAVE

8 / 150

If one wants to enter data into a BASIC program by a terminal, then one generally uses
A READ statement
B DATA statement
C INPUT statement
D LET statement

9 / 150

In the expression P+QT-2/R in BASIC which operation will be performedfirst?
A Division
B Multiplication
C Addition
D It depends on the values of P, Q, R and T

10 / 150

Which of the following is an incorrect BASIC expression?
A X(Y+Z)
B A/B C/D
C A2-B3/6.5
D All of the above are correct expressions.

11 / 150

In a BASIC expression which of the following
A Multiplication is performed before exponentiation
B Addition is performed before multiplication
C Exponentiation is performed before division
D Exponentiation is performed before division

12 / 150

A variable in a BASIC program
A Must assume different values at different places
B May or may not assume different values at different places
C Must not assume different values at different places
D Is always entered through DATA statements

13 / 150

The product of X AND Y is to be assigned to a variable Z. Such an assignment would be written in BASIC as
A LET Z-XY
B Z=XY
C LET X Y Z
D LET Z = XY

14 / 150

What is most appropriate for BASIC language
A It requires in-depth knowledge of the computer
B It requires a large computer
C It is an interacting language
D None of the above

15 / 150

What is most appropriate for BASIC language
A It requires in-depth knowledge of the computer
B It requires a large computer
C It is an interacting language
D None of the above

16 / 150

In a variable name in BASIC
A There must be at least two alphabet characters
B The first character may be an alphabet or a positive integer
C The first character must be an alphabet
D None of the above

17 / 150

BASIC program is translated into machine language by
A Compiler
B Interpreter
C Both of the above
D None of the above

18 / 150

The BASIC statement for "Transfer the value stored in P to Q" could be                                                      A INPUT P = Q
B LET P = Q
C LET P/Q=1
D LET Q = P

19 / 150

Every statement in standard BASIC
A Must have a statement number divisible by 10
B Must precede a REM statement
C Must be assigned a label
D None of the above

20 / 150

A line number in BASIC under DOS can not be greater than
A 100000
B 100001
C 99999
D There is no limit

21 / 150

22 / 150

An example of a BASIC command is
A LET
B DATA
C END
D None of the above

23 / 150

Who among the following is/are associated with the development of BASICLANGUAGE
A John Kemeny
B Thomas Kurt
C Both of the above
D None of the above

24 / 150

The label of a statement in BASIC must be
A Signed, positive or negative integer number
B Negative integer number
C Any real number
D None of the above

25 / 150

The SAVE statement in BASIC transfers program from                                                                                 A Primary storage to secondary storage
B Secondary storage to primary storage
C One secondary storage device to another
D ROM to RAM

26 / 150

In context of BASIC, what is common between numerals, integers, real- numbers and strings.              A All are types of constants
B All are types of variable
C All are types of numbers
D All are types of alphabets

27 / 150

Which of the following is a correct BASIC expression
A (A+B) (A-B)
B A+ (B)
C A(C/-D)
D None of the above

28 / 150

What is not true about BASIC language
A It is quite easy to learn
B It is an interactive language
C Each line of a program generally has one statement only
D Blank spaces in a statement are not ignored

29 / 150

In which of the following growth phases, does the number of bacteria increase the most rapidly?
A. Lag phase
B. Log phase
C. Stationary phase
D. Death/decline phase

30 / 150

The enzymes required for the Krebs cycle are found in _________.                                                          A. F1 particles
B. Lysosomes
C. Cytoplasm
D. Matrix

31 / 150

Coccyx vertebrae are located in the:
A. Cervical region
B. Lumber region
C. Pelvic region
D. Thoracic region

32 / 150

Cell-mediated immune response is given by:
A. T lymphocytes
B. B lymphocytes
C. Neutrophils
D. Macrophages

33 / 150

Which part of the cell does glycolysis occur in?
A. Mitochondrion
B. Chloroplast
C. Cytoplasm
D. Nucleus
E. Vacuole

34 / 150

Asexual reproduction requires only a single parental organismwhichgivesrise to offspring by?
A. Meiotic cell division
B. Mitotic cell division
C. Both a and b
D. None of these

35 / 150

The left side of the body is controlled by:
A. Left cerebral hemisphere
B. Right cerebral hemisphere
C. Hippocampus
D. Corpus callosum

36 / 150

Which of the following terms is best defined as a mature, motile, and haploid sperm cell produced during spermatogenesis?
A. Spermatid
B. Spermatogonium
C. Secondary spermatocyte
D. Spermatozoa

37 / 150

Which of the following is not a true characteristic of gametocytes?
A. Male gametocytes are called spermatocytes
B. Gametocytes can divide by mitosis into other gametocytes
C. Female gametocytes are called oocytes
D. They are eukaryotic somatic cells

38 / 150

Which of the following is not a true characteristic of gametocytes?
A. Male gametocytes are called spermatocytes
B. Gametocytes can divide by mitosis into other gametocytes
C. Female gametocytes are called oocytes
D. They are eukaryotic somatic cells

39 / 150

Chitinous Setae are the locomotory organs of annelids which are present on?                                            A. Cell wall
B. Prostomium
C. Nucleolus
D. Parapodia

40 / 150

___________ refers to the breakdown or removal of the capsid.                                                               A. Assembly
B. Uncoating
C. Integration
D. Maturation

41 / 150

Casparian strips are found in:
A. Epidermis
B. Endodermis
C. Cortex
D. Vascular bundle

42 / 150

43 / 150

44 / 150

The thickest chamber of the human heart is:
A. Left atrium
B. Right atrium
C. Right ventricle
D. Left ventricle

45 / 150

During breathing, air from the pharynx enters the:
A. Trachea
B. Bronchioles
C. Alveoli
D. Bronchi

46 / 150

Which of the following is a water-soluble vitamin?
A. Riboflavin
B. Vitamin C
C. Niacin
D. All of these

47 / 150

If a molecule can bind to another site of the enzyme rather than the true active site, it is referred to as:
A. Competitive inhibitors
B. Allosteric inhibition
C. Non-competitive inhibitors
D. Irreversible inhibition

48 / 150

____________ is the site of the light-independent reaction.                                                                    A. Thylakoid membrane
B. Thylakoid space
C. Stroma
D. Grana

49 / 150

Lipid synthesis or lipid metabolism is the function of:
A. Smooth endoplasmic reticulum
B. Mitochondria
C. Golgi complex
D. Rough endoplasmic reticulum

50 / 150

Salivary amylase begins to digest starch to shorter polysaccharides and the into:
A. Glucose
B. Maltose
C. Sucrose
D. Lactose

51 / 150

Gametes in animals are produced by which of the following?
A. Mitosis
B. Meiosis
C. Fission
D. All of these

52 / 150

Lack of symmetry is identified in which group of animals?
A. Protozoa
B. Porozoa
C. Parazoa
D. Coelomates

53 / 150

In viruses, a combined structure formed by the core (Nucleic acid) and capsid is:
A. Nucleocapsid
B. Prion
C. Envelope
D. Capsomeres

54 / 150

Skull, vertebral column, ribs, and sternum form the:
A. Appendicular skeleton
B. Hydrostatic skeleton
C. Exoskeleton
D. Axial skeleton

55 / 150

56 / 150

57 / 150

58 / 150

59 / 150

60 / 150

61 / 150

62 / 150

63 / 150

64 / 150

65 / 150

66 / 150

67 / 150

68 / 150

69 / 150

70 / 150

71 / 150

72 / 150

73 / 150

74 / 150

75 / 150

76 / 150

77 / 150

78 / 150

79 / 150

80 / 150

81 / 150

82 / 150

83 / 150

84 / 150

85 / 150

86 / 150

87 / 150

88 / 150

89 / 150

90 / 150

91 / 150

92 / 150

93 / 150

94 / 150

95 / 150

96 / 150

97 / 150

98 / 150

99 / 150

100 / 150

101 / 150

102 / 150

103 / 150

104 / 150

105 / 150

106 / 150

107 / 150

108 / 150

109 / 150

110 / 150

111 / 150

112 / 150

113 / 150

114 / 150

115 / 150

116 / 150

117 / 150

118 / 150

119 / 150

120 / 150

121 / 150

122 / 150

123 / 150

124 / 150

125 / 150

126 / 150

Synonym of Hesitant
A. Reluctant
B. Patient
C. Angry
D. Sad

127 / 150

Synonym of Avert
A. Hate
B. Diligent
C. turn away
D. follow

128 / 150

Synonym of Ridicule
A. gloomy
B. crack
C. joking
D. block

129 / 150

Synonym of Swelled
A. become inflated
B. large
C. thin
D. demand

130 / 150

Synonym of Initial
A. Epilogue
B. beginning
C. Interim
D. Annual

131 / 150

Synonym of Arid
A. fertile
B. chance
C. barren
D. Steal

132 / 150

Synonym of Abide by
A. disobey
B. obey
C. finish
D. master

133 / 150

Synonym of Tumbled
A. target
B. merchant
C. explore
D. collapse

134 / 150

Synonym of Sentenced
A. exit
B. pass judgement
C. flip
D. argument

135 / 150

Find out the word which gives appropriate meanings for the underline part of sentence. King Martin Luther detested injustice. A. adore
B. kind
C. abhorred
D. market

136 / 150

Complete the Sentence. As she ______ retirement she became more thoughtful and withdrawnfor worldly comforts.                                                                                                                                                     A. pay
B. said
C. admire
D. took

137 / 150

Use at least five hundred words at your essay. No Error
A. at least
B. five hundred
C. words
D. at
E. No Error

138 / 150

The prices of petroleum products as well as demand has been raised in last few years. No Error
A. of
B. petroleum products as well as demand
C. has been
D. raised
E. No Error

139 / 150

Most of the old radios are out of order and __________.                                                                          A. Need to be repaired.                                                                                                                                               B. Need to repaired
C. required repaired for them
D. needs maintenance.

140 / 150

Synonym of Reiterated
A. Reject
B. Dissolve
C. repeat
D. Solution

141 / 150

. Synonym of Hike
A. Doze
B. Articulate
C. Tramp
D. Shrink

142 / 150

Unsure of her English skill she is ________ to speak in the class
A. Transient
B. impalpitate
C. evasive
D. perplexed

143 / 150

We expected that the assembly should ________ its mistakes
A. Treaties
B. Signify
C. Notify
D. Rectify

144 / 150

For a diver, the pressure under water makes him sluggish.                                                                              A Hurt
B Slow
C afraid
D careful

145 / 150

Much of today's business is conducted across international borders, and while the majority of the global business community might share the use of English as a common language, the nuances and expectations of business communication might differ greatly from culture to culture. Alack of understanding of the cultural norms and practices of our business acquaintances can result in unfair judgements, misunderstandings and
breakdowns in communication. Here are three basic areas of differences in the business etiquette around the world that could help stand you in
good stead when you next find yourself working with someone from a different culture. Addressing someone When discussing this topic in a training course, a German trainee and a British trainee got into a hot debate about whether it was appropriate for someone with a doctorate to use the corresponding title on their business card. The British trainee maintained that anyone who wasn't a medical
doctor expecting to be addressed as 'Dr' was disgustingly pompous and full of themselves. The German trainee, however, argued that the hard work and years of education put into earning that PhD should give them full rights to expect to be addressed as 'Dr'. This stark difference in opinion over something that could be conceived as minor and thus easily overlooked goes to show that we often attach meaning to even the most mundane practices. When things that we are used to are done differently, it could spark the strongest reactions in us. While many Continental Europeans and Latin Americans prefer to be addressed with a title, for example Mr or Ms and their surname when meeting someone in a business context for the first time, Americans, and increasingly the British, now tend to prefer using their first names. The best thing to do is to listen and observe how your conversation partner addresses you and, if you are still unsure, do not be afraid to ask
them how they would like to be addressed. Smiling
A so-called 'smile of respect' is seen as insincere and often regarded with suspicion in Russia. A famous Russian proverb even states that
'laughing without reason is a sign of idiocy'. Yet in countries like the United States, Australia and Britain, smiling is often interpreted as a sign
of openness, friendship and respect, and is frequently used to break the ice. In a piece of research done on smiles across cultures, the researchers found that smiling individuals were considered more intelligent than non- smiling people in countries such as Germany, Switzerland, China and Malaysia. However, in countries like Russia, Japan, South Korea and
Iran, pictures of smiling faces were rated as less intelligent than the non-smiling ones. Meanwhile, in countries like India, Argentina and the Maldives, smiling was associated with dishonesty. Eye contact
An American or British person might be looking their client in the eye to show that they are paying full attention to what is being said, but if
that client is from Japan or Korea, they might find the direct eye contact awkward or even disrespectful. In parts of South America and Africa, prolonged eye contact could also be seen as challenging authority. In the Middle East, eye contact across genders is considered inappropriate, although eye contact within a gender could signify honesty and truthfulness. Having an increased awareness of the possible differences in expectations and behavior can help us avoid cases of miscommunication, but it is vital that we also remember that cultural stereotypes can be detrimental to building good business relationships. Although national cultures could play a part in shaping the way we behave and think, we are also largely influenced by the region we come from, the communities we
associate with, our age and gender, our corporate culture and our individual experiences of the world. The knowledge of the potential
differences should therefore be something we keep at the back of our minds, rather than something that we use to pigeonhole the individe an entire nation.

The British trainee felt that the people who want to be addressedas 'Dr' must be …
A. hard-working.                                                                                                                                                     B. conceited and self-important.                                                                                                                             C. doing a medical degree.                                                                                                                                      D. from Germany

146 / 150

Much of today's business is conducted across international borders, and while the majority of the global business community might share the use of English as a common language, the nuances and expectations of business communication might differ greatly from culture to culture. Alack of understanding of the cultural norms and practices of our business acquaintances can result in unfair judgements, misunderstandings and
breakdowns in communication. Here are three basic areas of differences in the business etiquette around the world that could help stand you in
good stead when you next find yourself working with someone from a different culture. Addressing someone When discussing this topic in a training course, a German trainee and a British trainee got into a hot debate about whether it was appropriate for someone with a doctorate to use the corresponding title on their business card. The British trainee maintained that anyone who wasn't a medical
doctor expecting to be addressed as 'Dr' was disgustingly pompous and full of themselves. The German trainee, however, argued that the hard work and years of education put into earning that PhD should give them full rights to expect to be addressed as 'Dr'. This stark difference in opinion over something that could be conceived as minor and thus easily overlooked goes to show that we often attach meaning to even the most mundane practices. When things that we are used to are done differently, it could spark the strongest reactions in us. While many Continental Europeans and Latin Americans prefer to be addressed with a title, for example Mr or Ms and their surname when meeting someone in a business context for the first time, Americans, and increasingly the British, now tend to prefer using their first names. The best thing to do is to listen and observe how your conversation partner addresses you and, if you are still unsure, do not be afraid to ask
them how they would like to be addressed. Smiling
A so-called 'smile of respect' is seen as insincere and often regarded with suspicion in Russia. A famous Russian proverb even states that
'laughing without reason is a sign of idiocy'. Yet in countries like the United States, Australia and Britain, smiling is often interpreted as a sign
of openness, friendship and respect, and is frequently used to break the ice. In a piece of research done on smiles across cultures, the researchers found that smiling individuals were considered more intelligent than non- smiling people in countries such as Germany, Switzerland, China and Malaysia. However, in countries like Russia, Japan, South Korea and
Iran, pictures of smiling faces were rated as less intelligent than the non-smiling ones. Meanwhile, in countries like India, Argentina and the Maldives, smiling was associated with dishonesty. Eye contact
An American or British person might be looking their client in the eye to show that they are paying full attention to what is being said, but if
that client is from Japan or Korea, they might find the direct eye contact awkward or even disrespectful. In parts of South America and Africa, prolonged eye contact could also be seen as challenging authority. In the Middle East, eye contact across genders is considered inappropriate, although eye contact within a gender could signify honesty and truthfulness. Having an increased awareness of the possible differences in expectations and behavior can help us avoid cases of miscommunication, but it is vital that we also remember that cultural stereotypes can be detrimental to building good business relationships. Although national cultures could play a part in shaping the way we behave and think, we are also largely influenced by the region we come from, the communities we
associate with, our age and gender, our corporate culture and our individual experiences of the world. The knowledge of the potential
differences should therefore be something we keep at the back of our minds, rather than something that we use to pigeonhole the individuals of an entire nation.

If you are not sure how to address someone, you should …                                                                           A. use the title you see on their business card.                                                                                                    B. make your decision based on cultural stereotypes about their country.                                                C. address them the way you'd like to be addressed.                                                                                       D. ask them what they would like you to call them.

147 / 150

Much of today's business is conducted across international borders, and while the majority of the global business community might share the use of English as a common language, the nuances and expectations of business communication might differ greatly from culture to culture. Alack of understanding of the cultural norms and practices of our business acquaintances can result in unfair judgements, misunderstandings and
breakdowns in communication. Here are three basic areas of differences in the business etiquette around the world that could help stand you in
good stead when you next find yourself working with someone from a different culture. Addressing someone When discussing this topic in a training course, a German trainee and a British trainee got into a hot debate about whether it was appropriate for someone with a doctorate to use the corresponding title on their business card. The British trainee maintained that anyone who wasn't a medical
doctor expecting to be addressed as 'Dr' was disgustingly pompous and full of themselves. The German trainee, however, argued that the hard work and years of education put into earning that PhD should give them full rights to expect to be addressed as 'Dr'. This stark difference in opinion over something that could be conceived as minor and thus easily overlooked goes to show that we often attach meaning to even the most mundane practices. When things that we are used to are done differently, it could spark the strongest reactions in us. While many Continental Europeans and Latin Americans prefer to be addressed with a title, for example Mr or Ms and their surname when meeting someone in a business context for the first time, Americans, and increasingly the British, now tend to prefer using their first names. The best thing to do is to listen and observe how your conversation partner addresses you and, if you are still unsure, do not be afraid to ask
them how they would like to be addressed. Smiling
A so-called 'smile of respect' is seen as insincere and often regarded with suspicion in Russia. A famous Russian proverb even states that
'laughing without reason is a sign of idiocy'. Yet in countries like the United States, Australia and Britain, smiling is often interpreted as a sign
of openness, friendship and respect, and is frequently used to break the ice. In a piece of research done on smiles across cultures, the researchers found that smiling individuals were considered more intelligent than non- smiling people in countries such as Germany, Switzerland, China and Malaysia. However, in countries like Russia, Japan, South Korea and
Iran, pictures of smiling faces were rated as less intelligent than the non-smiling ones. Meanwhile, in countries like India, Argentina and the Maldives, smiling was associated with dishonesty. Eye contact
An American or British person might be looking their client in the eye to show that they are paying full attention to what is being said, but if
that client is from Japan or Korea, they might find the direct eye contact awkward or even disrespectful. In parts of South America and Africa, prolonged eye contact could also be seen as challenging authority. In the Middle East, eye contact across genders is considered inappropriate, although eye contact within a gender could signify honesty and truthfulness. Having an increased awareness of the possible differences in expectations and behavior can help us avoid cases of miscommunication, but it is vital that we also remember that cultural stereotypes can be detrimental to building good business relationships. Although national cultures could play a part in shaping the way we behave and think, we are also largely influenced by the region we come from, the communities we
associate with, our age and gender, our corporate culture and our individual experiences of the world. The knowledge of the potential
differences should therefore be something we keep at the back of our minds, rather than something that we use to pigeonhole the individuals of an entire nation.

There might be a misunderstanding if an American smiles at a Russian business associate because the Russian might think that the Americanis...                                                                                                 A. being fake.                                                                                                                                                               B. challenging their authority.                                                                                                                                 C. trying to break the ice.                                                                                                                                      D. disrespectful.

148 / 150

Much of today's business is conducted across international borders, and while the majority of the global business community might share the use of English as a common language, the nuances and expectations of business communication might differ greatly from culture to culture. Alack of understanding of the cultural norms and practices of our business acquaintances can result in unfair judgements, misunderstandings and
breakdowns in communication. Here are three basic areas of differences in the business etiquette around the world that could help stand you in
good stead when you next find yourself working with someone from a different culture. Addressing someone When discussing this topic in a training course, a German trainee and a British trainee got into a hot debate about whether it was appropriate for someone with a doctorate to use the corresponding title on their business card. The British trainee maintained that anyone who wasn't a medical
doctor expecting to be addressed as 'Dr' was disgustingly pompous and full of themselves. The German trainee, however, argued that the hard work and years of education put into earning that PhD should give them full rights to expect to be addressed as 'Dr'. This stark difference in opinion over something that could be conceived as minor and thus easily overlooked goes to show that we often attach meaning to even the most mundane practices. When things that we are used to are done differently, it could spark the strongest reactions in us. While many Continental Europeans and Latin Americans prefer to be addressed with a title, for example Mr or Ms and their surname when meeting someone in a business context for the first time, Americans, and increasingly the British, now tend to prefer using their first names. The best thing to do is to listen and observe how your conversation partner addresses you and, if you are still unsure, do not be afraid to ask
them how they would like to be addressed. Smiling
A so-called 'smile of respect' is seen as insincere and often regarded with suspicion in Russia. A famous Russian proverb even states that
'laughing without reason is a sign of idiocy'. Yet in countries like the United States, Australia and Britain, smiling is often interpreted as a sign
of openness, friendship and respect, and is frequently used to break the ice. In a piece of research done on smiles across cultures, the researchers found that smiling individuals were considered more intelligent than non- smiling people in countries such as Germany, Switzerland, China and Malaysia. However, in countries like Russia, Japan, South Korea and
Iran, pictures of smiling faces were rated as less intelligent than the non-smiling ones. Meanwhile, in countries like India, Argentina and the Maldives, smiling was associated with dishonesty. Eye contact
An American or British person might be looking their client in the eye to show that they are paying full attention to what is being said, but if
that client is from Japan or Korea, they might find the direct eye contact awkward or even disrespectful. In parts of South America and Africa, prolonged eye contact could also be seen as challenging authority. In the Middle East, eye contact across genders is considered inappropriate, although eye contact within a gender could signify honesty and truthfulness. Having an increased awareness of the possible differences in expectations and behavior can help us avoid cases of miscommunication, but it is vital that we also remember that cultural stereotypes can be detrimental to building good business relationships. Although national cultures could play a part in shaping the way we behave and think, we are also largely influenced by the region we come from, the communities we
associate with, our age and gender, our corporate culture and our individual experiences of the world. The knowledge of the potential
differences should therefore be something we keep at the back of our minds, rather than something that we use to pigeonhole the individuals of an entire nation

The Japanese, South Koreans and Iranians might interpret a smilingface as being …
A. friendlier.                                                                                                                                                             B. less open.                                                                                                                                                                C. not as intelligent.                                                                                                                                                  D. dishonest.

149 / 150

Much of today's business is conducted across international borders, and while the majority of the global business community might share the use of English as a common language, the nuances and expectations of business communication might differ greatly from culture to culture. Alack of understanding of the cultural norms and practices of our business acquaintances can result in unfair judgements, misunderstandings and
breakdowns in communication. Here are three basic areas of differences in the business etiquette around the world that could help stand you in
good stead when you next find yourself working with someone from a different culture. Addressing someone When discussing this topic in a training course, a German trainee and a British trainee got into a hot debate about whether it was appropriate for someone with a doctorate to use the corresponding title on their business card. The British trainee maintained that anyone who wasn't a medical
doctor expecting to be addressed as 'Dr' was disgustingly pompous and full of themselves. The German trainee, however, argued that the hard work and years of education put into earning that PhD should give them full rights to expect to be addressed as 'Dr'. This stark difference in opinion over something that could be conceived as minor and thus easily overlooked goes to show that we often attach meaning to even the most mundane practices. When things that we are used to are done differently, it could spark the strongest reactions in us. While many Continental Europeans and Latin Americans prefer to be addressed with a title, for example Mr or Ms and their surname when meeting someone in a business context for the first time, Americans, and increasingly the British, now tend to prefer using their first names. The best thing to do is to listen and observe how your conversation partner addresses you and, if you are still unsure, do not be afraid to ask
them how they would like to be addressed. Smiling
A so-called 'smile of respect' is seen as insincere and often regarded with suspicion in Russia. A famous Russian proverb even states that
'laughing without reason is a sign of idiocy'. Yet in countries like the United States, Australia and Britain, smiling is often interpreted as a sign
of openness, friendship and respect, and is frequently used to break the ice. In a piece of research done on smiles across cultures, the researchers found that smiling individuals were considered more intelligent than non- smiling people in countries such as Germany, Switzerland, China and Malaysia. However, in countries like Russia, Japan, South Korea and
Iran, pictures of smiling faces were rated as less intelligent than the non-smiling ones. Meanwhile, in countries like India, Argentina and the Maldives, smiling was associated with dishonesty. Eye contact
An American or British person might be looking their client in the eye to show that they are paying full attention to what is being said, but if
that client is from Japan or Korea, they might find the direct eye contact awkward or even disrespectful. In parts of South America and Africa, prolonged eye contact could also be seen as challenging authority. In the Middle East, eye contact across genders is considered inappropriate, although eye contact within a gender could signify honesty and truthfulness. Having an increased awareness of the possible differences in expectations and behavior can help us avoid cases of miscommunication, but it is vital that we also remember that cultural stereotypes can be detrimental to building good business relationships. Although national cultures could play a part in shaping the way we behave and think, we are also largely influenced by the region we come from, the communities we
associate with, our age and gender, our corporate culture and our individual experiences of the world. The knowledge of the potential
differences should therefore be something we keep at the back of our minds, rather than something that we use to pigeonhole the individuals of an entire nation.

Americans and British people sometimes use eye contact to showthat
they ...                                                                                                                                                                             A. like the speaker.                                                                                                                                                 B. are really listening to what is being said.                                                                                                        C. are honest and truthful.                                                                                                                                    D. are attending to every need of the speaker.

150 / 150

Much of today's business is conducted across international borders, and while the majority of the global business community might share the use of English as a common language, the nuances and expectations of business communication might differ greatly from culture to culture. Alack of understanding of the cultural norms and practices of our business acquaintances can result in unfair judgements, misunderstandings and
breakdowns in communication. Here are three basic areas of differences in the business etiquette around the world that could help stand you in
good stead when you next find yourself working with someone from a different culture. Addressing someone When discussing this topic in a training course, a German trainee and a British trainee got into a hot debate about whether it was appropriate for someone with a doctorate to use the corresponding title on their business card. The British trainee maintained that anyone who wasn't a medical
doctor expecting to be addressed as 'Dr' was disgustingly pompous and full of themselves. The German trainee, however, argued that the hard work and years of education put into earning that PhD should give them full rights to expect to be addressed as 'Dr'. This stark difference in opinion over something that could be conceived as minor and thus easily overlooked goes to show that we often attach meaning to even the most mundane practices. When things that we are used to are done differently, it could spark the strongest reactions in us. While many Continental Europeans and Latin Americans prefer to be addressed with a title, for example Mr or Ms and their surname when meeting someone in a business context for the first time, Americans, and increasingly the British, now tend to prefer using their first names. The best thing to do is to listen and observe how your conversation partner addresses you and, if you are still unsure, do not be afraid to ask
them how they would like to be addressed. Smiling
A so-called 'smile of respect' is seen as insincere and often regarded with suspicion in Russia. A famous Russian proverb even states that
'laughing without reason is a sign of idiocy'. Yet in countries like the United States, Australia and Britain, smiling is often interpreted as a sign
of openness, friendship and respect, and is frequently used to break the ice. In a piece of research done on smiles across cultures, the researchers found that smiling individuals were considered more intelligent than non- smiling people in countries such as Germany, Switzerland, China and Malaysia. However, in countries like Russia, Japan, South Korea and
Iran, pictures of smiling faces were rated as less intelligent than the non-smiling ones. Meanwhile, in countries like India, Argentina and the Maldives, smiling was associated with dishonesty. Eye contact
An American or British person might be looking their client in the eye to show that they are paying full attention to what is being said, but if
that client is from Japan or Korea, they might find the direct eye contact awkward or even disrespectful. In parts of South America and Africa, prolonged eye contact could also be seen as challenging authority. In the Middle East, eye contact across genders is considered inappropriate, although eye contact within a gender could signify honesty and truthfulness. Having an increased awareness of the possible differences in expectations and behavior can help us avoid cases of miscommunication, but it is vital that we also remember that cultural stereotypes can be detrimental to building good business relationships. Although national cultures could play a part in shaping the way we behave and think, we are also largely influenced by the region we come from, the communities we
associate with, our age and gender, our corporate culture and our individual experiences of the world. The knowledge of the potential
differences should therefore be something we keep at the back of our minds, rather than something that we use to pigeonhole the individuals of an entire nation.

The last paragraph warns the reader not to ...                                                                                                   A. engage in international business.                                                                                                                        B. let national cultures shape the way we behave and think.                                                                       C. let miscommunication damage our business relationships.                                                                     D. overgeneralize using our knowledge of cultural stereotypes.

Your score is

The average score is 39%

0%

Leave a Reply

Your email address will not be published. Required fields are marked *

You cannot copy content of this page

error: Content is protected !!