PASS UET-ECAT MOCK TEST 8 2026

Shape Image One

PASS EDUCATION SYSTEM PASS UET QUIZ PAST PAPER MCQ’S

PASS UET-ECAT MOCK TEST # 8

1 / 150

Which gas has the highest rate of diffusion?
A) Oxygen (Oâ‚‚)
B) Carbon monoxide (CO)
C) Ammonia (NH₃)
D) Hydrogen (Hâ‚‚)

2 / 150

Sodium chloride (NaCl) is an example of which type of compound?                                                          A) Covalent compound
B) Ionic compound
C) Metallic compound
D) Molecular compound

3 / 150

What is the empirical formula of a compound with 40%sulfur (S) and60% oxygen (O) by mass?
A) SOâ‚‚
B) SO₃
C) Sâ‚‚Oâ‚‚
D) S₃O₆

4 / 150

For the reaction:
CaCO3 ⇌ CaO + CO2
What happens when pressure is increased?
A) Reaction shifts forward (right)
B) Reaction shifts backward (left)
C) Reaction rate increases
D) No effect on equilibrium

5 / 150

The SN1 reaction is most likely to occur in which of the follow in ghydro carbons?
A) Ethane (C₂H₆)
B) Ethene (Câ‚‚Hâ‚„)
C) Ethyne (Câ‚‚Hâ‚‚)
D) None of these

6 / 150

What are the building blocks of proteins?
A) Nucleotides
B) Monosaccharides
C) Amino acids
D) Fatty acids

7 / 150

Which catalyst is commonly used in hydration reactions?
A) Platinum (Pt)
B) Sulfuric acid (Hâ‚‚SOâ‚„)
C) Nickel (Ni)
D) Iron (Fe)

8 / 150

Through which process is ethyne (C₂H₂) converted into ethane (C₂H₆)?                                                A) Hydration
B) Hydrolysis
C) Hydrogenation
D) Oxidation

9 / 150

Which of the following is an aromatic compound?
A) Cyclohexane
B) Benzene
C) Ethene
D) Propyne

10 / 150

Newton’s second law connects:
A) Force and inertia
B) Force and velocity
C) Momentum and acceleration
D) Rate of change of momentum and force

11 / 150

Pressure is defined as:
A) Force per unit length
B) Energy per unit area
C) Force per unit area
D) Mass per unit area

12 / 150

As temperature of semiconductor increases, resistance:
A) Increases
B) Decreases
C) Remains same
D) First increases, then decreases

13 / 150

If torque = 1 kNm and radius = 500 mm, the force is:
A) 1 kN
B) 2 kN
C) 0.5 kN
D) 5 kN

14 / 150

If kinetic energy is doubled, then momentum becomes:
A) Doubled
B) Halved
C) √2 times
D) Remains same

15 / 150

A person falls to side in car turning due to:
A) Momentum
B) Gravity
C) Friction
D) Inertia

16 / 150

If momentum is doubled, what happens to kinetic energy?
A) Becomes four times
B) Becomes half
C) Doubled
D) Same

17 / 150

A person throws ball from a car with constant velocity (no air resistance), the ball falls:
A) Behind the car
B) Ahead of the car
C) Outside the car
D) In the car at the point of release

18 / 150

If force is applied, what does not change?
A) Shape
B) Mass
C) Velocity
D) Motion

19 / 150

If distance between Earth and Sun doubles, then 1 year becomes:
A) 365 days
B) 520 days
C) 730 days
D) 1032 days

20 / 150

If you hit a rock and it hurts your hand, it is due to:
A) Inertia
B) Action force
C) Reaction force
D) Momentum

21 / 150

Ball thrown vertically from a moving car (no air resistance), it lands:
A) Outside car
B) Ahead of car
C) Back in car
D) On road

22 / 150

If momentum is doubled, kinetic energy becomes:
A) Doubled
B) √2 times
C) Four times
D) Half

23 / 150

In a turning car, body leans to one side due to:
A) Gravity
B) Friction
C) Inertia
D) Acceleration

24 / 150

Which virus can disrupt software like games?
A) Worm
B) Trojan
C) Logic bomb
D) Spyware

25 / 150

Which virus can disrupt software like games?
A) Worm
B) Trojan
C) Logic bomb
D) Spyware

26 / 150

Which has no net force acting on it?
A) Uniform acceleration
B) Uniform deceleration
C) Uniform motion
D) Changing velocity

27 / 150

In YDSE, fringe width increases when:
A) Wavelength decreases
B) Distance between slits increases
C) Screen distance decreases
D) Wavelength increases

28 / 150

When semiconductor is heated, resistance:
A) Increases
B) Decreases
C) Remains same
D) First increases then decreases

29 / 150

Ball thrown from open moving car (no air resistance):
A) Lands behind the car
B) Lands inside the car
C) Lands ahead of the car
D) Moves sideways

30 / 150

Work is calculated using:
A) F + d
B) F × d
C) F/d
D) d/F

31 / 150

What doesn’t change when force is applied?
A) Mass
B) Shape
C) Velocity
D) Acceleration

32 / 150

If momentum is doubled, KE becomes:
A) Four times
B) Half
C) √2 times
D) Doubled

33 / 150

Find Work done if F = 500 N, d = 10 m:
A) 5000 J
B) 50 J
C) 100 J
D) 500 J

34 / 150

If Earth-Moon distance doubles, gravitational force:
A) Doubles
B) Halves
C) Becomes four times
D) Becomes one-fourth

35 / 150

If wavelength doubles in YDSE, fringe spacing:
A) Doubles
B) Halves
C) Increases four times
D) No change

36 / 150

When a metallic end of a rod is heated from the left side, the balancing point will move towards:
a) Left
b) Right
c) Remains in center
d) Moves randomly

37 / 150

Why does a potentiometer give accurate readings?
a) Works in open circuit
b) Works in closed circuit
c) Uses high-resistance and long wire
d) Uses galvanometer only

38 / 150

Two identical cylinders, one hollow and one solid, which has a greater
moment of inertia about central axis?
a) Solid cylinder
b) Hollow cylinder
c) Both equal
d) Depends on radius

39 / 150

If Torque = 1000 Nm and radius = 500 mm, then Force = ?
a) 2000 N
b) 20 N
c) 2 N
d) 5000 N

40 / 150

What is a black hole?
a) A region of magnetic collapse
b) A vacuum in the universe
c) A cosmic body of intense gravity from which nothing can escape
d) A star that emits intense light

41 / 150

Which of the following is the fastest way to retrieve data?
A) Indexing
B) Sequential Search
C) Binary Search
D) Hashing

42 / 150

Which format specifier is used to store the address of a pointer
variable in C?
A) %d
B) %f
C) %p
D) %c

43 / 150

Which type of network is used for a city-wide connection?
A) LAN
B) MAN
C) WAN
D) PAN

44 / 150

Which of the following statements is used to print a variable inC?                                                              A) print(var);
B) printf("%d", var);
C) cout << var;
D) System.out.println(var);

45 / 150

Which of the following is an example of an aggregate data type inC?                                                            A) int
B) float
C) array
D) double

46 / 150

Which of the following best defines Partial Dependency?
A) When a non-prime attribute depends on only part of a composite primary key.                                 B) When a non-prime attribute depends on the entire primary key.                                                         C) When a non-prime attribute does not depend on any part of the primary key.                                 D) When all attributes depend on a foreign key.

47 / 150

If one word consists of 4 bytes, how many bytes are there in 5GB?                                                           A) 5 × 1024 × 1024 × 1024 × 4
B) 5 × 1000 × 1000 × 1000 × 4
C) (5 × 1024 × 1024 × 1024) / 4
D) (5 × 1000 × 1000 × 1000) / 4

48 / 150

Which protocol is used for Web access?
A) FTP
B) HTTP
C) SMTP
D) SNMP

49 / 150

Which virus activates itself in legitimate games?
A) Trojan Horse
B) Redlof
C) Boot Sector Virus
D) Worm

50 / 150

What does cardinality in a relation represent?
A) The number of attributes (columns) in a relation
B) The number of tuples (rows) in a relation
C) The number of relationships in a database
D) The number of foreign keys in a table

51 / 150

Which key does not have uniqueness?
A) Primary Key
B) Foreign Key
C) Candidate Key
D) Super Key

52 / 150

Which memory is the slowest?
A) Cache Memory
B) RAM
C) Hard Disk (HDD)
D) Register

53 / 150

What is Data Integrity?
A) Ensuring data is accurate and consistent
B) Protecting data from unauthorized access
C) Backing up data to prevent loss
D) Storing data in multiple locations

54 / 150

Which term is used to describe a proper data structure?
A) Data Model
B) Data Structure
C) Data Type
D) Schema

55 / 150

Which is used to retrieve data from a database?
A) Query
B) Form
C) Report
D) Table

56 / 150

Cardinality of a relation is:
A) Number of records
B) Number of columns
C) Found in primary key
D) Found in foreign key

57 / 150

Degree of a relation is:
A) Number of relations
B) Number of columns
C) Found in primary key
D) Found in foreign key

58 / 150

Foreign key is found in:
A) Dependent table
B) Foreign table

59 / 150

If an employee is assigned an ID like M102 or S02, which type of
characters are used?
A) Alphanumeric
B) Alphabetic
C) Numeric
D) None of these

60 / 150

Which virus affects execution in the middle of a program's execution?                                                     A) Trojan Horse
B) Chernobyl Virus
C) Redlof

61 / 150

Which memory has the shortest access time?
A) RAM
B) SSD
C) Cache
D) Virtual Memory

62 / 150

. If a word consists of 4 bytes, how many words can be stored in2GB memory?
A) 536,870,912 words
B) 1,073,741,824 words
C) 268,435,456 words
D) 134,217,728 words

63 / 150

If a word consists of 4 bytes, how many words can be stored in2GBmemory?
A) 1 billion
B) 500 million
C) 536 million
D) 268 million

64 / 150

Which of the following is used to retrieve data from a relation?
A) Form
B) Query
C) Report
D) None of the above

65 / 150

The .exe file, which is the executable file, is produced by:
A) Text Editor
B) Linker
C) Compiler
D) Interpreter

66 / 150

How many KB are there in 1 MB?
A) 1000 KB
B) 1024 KB
C) 512 KB
D) 2048 KB

67 / 150

Which of the following is NOT a classification related to data
communication transmission?
A) Simplex, Half-duplex, Full-duplex
B) Encoder/Decoder
C) Custom Built/Packaged
D) Synchronous/Asynchronous

68 / 150

Which of the following best describes a Trojan Horse in the context
of computer security?
A) A self-replicating program that spreads by attaching to other files                                                       B) A malicious program disguised as legitimate software
C) A software that executes at a specific time to harm a system                                                                   D) A program that monitors user activities and sends data to hackers

69 / 150

Given the array declaration:
a[5] = {10, 20, 30, 40, 50};
What is the value of a[3]?
A) 10
B) 20
C) 30
D) 40

70 / 150

Which of the following data types typically occupies 4 bytes inmemory in the C programming language (on most modern systems)?                                                                                                               A) char
B) int
C) double
D) short

71 / 150

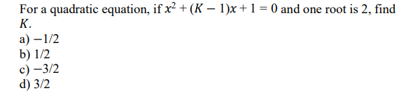
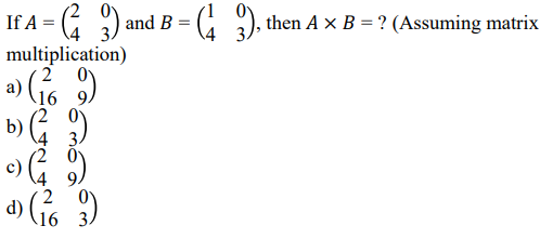
72 / 150

73 / 150

74 / 150

75 / 150

76 / 150

77 / 150

78 / 150

79 / 150

80 / 150

81 / 150

82 / 150

83 / 150

84 / 150

85 / 150

86 / 150

87 / 150

88 / 150

89 / 150

90 / 150

91 / 150

92 / 150

93 / 150

94 / 150

95 / 150

96 / 150

97 / 150

98 / 150

Passage 1:
Thomas Young's double-slit experiment in 1801 provided crucial evidence for the wave nature of light. By observing an interference pattern when light
passed through two closely spaced slits, Young demonstrated a fundamental
property of waves, thereby challenging the prevailing particle theory of light

What was the primary outcome of Young's double-slit experiment?
A) It confirmed that light propagates in straight lines.                                                                                  B) It established the wave characteristics of light.                                                                                          C) It validated the particle model of light.                                                                                                        D) It proved light's ability to travel without a medium.

99 / 150

In Young's double-slit experiment, a coherent light source illuminates two narrow slits. The light waves diffract from these slits and subsequently overlap, producing an interference pattern on a screen. This pattern consists of alternating bright and dark fringes, resulting from constructive and destructive interference, respectively.

The alternating bright and dark fringes observed in Young's experiment areadirect consequence of:
A) Light diffraction.                                                                                                                                               B) Light reflection.                                                                                                                                                  C) Superposition of light waves.                                                                                                                         D) Light absorption

100 / 150

101 / 150

The distance between the two slits significantly influences the fringe spacing in Young's experiment. Increasing the slit separation leads to a decrease infringe spacing, resulting in a more compact interference pattern. Conversely, reducing the slit separation causes the fringes to spread out.

If the distance between the slits in Young's experiment is increased, what isthe effect on the fringe spacing?
A) It increases.                                                                                                                                                          B) It decreases.                                                                                                                                                        C) It remains unaffected.                                                                                                                                          D) The pattern disappears.

102 / 150

The particle theory of light could not adequately explain the results of
Young's double-slit experiment. This theory would predict two distinct
bright spots on the screen, corresponding to the slits, rather than the
observed interference pattern. The experiment's outcome thus supported the wave nature of light, profoundly impacting wave optics.

Why was the particle theory of light insufficient to explain Young's
experiment?
A) It accurately predicted an interference pattern.                                                                                         B) It anticipated only two localized bright regions.                                                                                       C) It posited light as a wave phenomenon.                                                                                                      D) It made no assertions about light's properties

103 / 150

For a stable and visible interference pattern in Young's experiment, the light
source must be coherent, meaning the waves maintain a constant phase
difference. Historically, Young used sunlight through a pinhole to achieve coherence; modern experiments typically employ lasers.

The importance of using a coherent light source in Young's experiment is
that it:
A) Enhances the overall brightness of the fringes.                                                                                          B) Ensures the formation of a stable interference pattern.                                                                            C) Prevents the occurrence of diffraction effects.                                                                                              D) Eliminates the requirement for the slits themselves.

104 / 150

When white light, instead of monochromatic light, is used in Young's
experiment, the interference pattern manifests as colored fringes. This
phenomenon arises because different wavelengths within white light
interfere independently, leading to a spectrum of colors at various position son the screen.

What is the expected observation if white light is utilized in Young's double- slit experiment?
A) The interference fringes would cease to be visible.                                                                                    B) Only a single color would be observed across the pattern.                                                                          C) A distinct pattern of colored interference fringes would emerge.                                                          D) The experimental setup would fail to produce any observable effect.

105 / 150

The phenomenon of diffraction is intrinsically linked to Young's double-slit
experiment. As light passes through the narrow slits, it bends around the edges, a process known as diffraction. While interference is the
superposition of diffracted waves, diffraction itself is essential for the light
to spread out from each slit and overlap, allowing interference to occur.

What role does diffraction play in Young's double-slit experiment?
A) It causes the light to be absorbed by the slits.                                                                                             B) It directly creates the alternating bright and dark fringes.                                                                     C) It allows the light from each slit to spread and overlap.                                                                          D) It prevents the waves from interfering with each other

106 / 150

The principle of superposition is fundamental to understanding interferencepatterns. When two or more waves overlap in space, the net displacement at
any point and time is the algebraic sum of the individual displacements of
the waves. In Young's experiment, constructive interference occurs where wave crests meet crests or troughs meet troughs, resulting in maximum amplitude (bright fringes), while destructive interference occurs where crests meet troughs, resulting in minimum amplitude (dark fringes).

Which principle explains how light waves combine to formbright anddarkfringes in Young's experiment?
A) Huygens' Principle
B) Doppler Effect
C) Principle of Superposition
D) Snell's Law

107 / 150

While Young's experiment solidified the wave theory of light, the
subsequent discovery of the photoelectric effect and Planck's explanation of
blackbody radiation led to the development of quantum mechanics, which introduced the concept of wave-particle duality. This modern understanding states that light exhibits both wave-like and particle-like properties, depending on the experimental setup. Young's experiment remains a
foundational demonstration of light's wave nature.

According to modern physics, how does the wave-particle duality concept
relate to Young's double-slit experiment?
A) It disproves the wave nature of light demonstrated by Young.                                                               B) It confirms that light is solely a particle.                                                                                                     C) It suggests that light can exhibit both wave and particle characteristics.                                                 D) It implies that Young's experiment is no longer relevant.

108 / 150

Which chemical reactions occur during the process of photosynthesis  ?                                                   A Oxidation
B Reduction
C Both A & B
D None of these

109 / 150

The size of viruses is usually measured in?
A Centimeters
B Micrometers
C Nanometers
D Millimeters

110 / 150

The enzyme which plays an important role in HIV pathogenesis is:
A RNA polymerase I
B DNA polymerase II
C Reverse Transcriptase I
D Reverse Transcriptase

111 / 150

Fatty acids containing 18 C atoms and a single double bond are?
A Saturated
B Unsaturated
C Oleic acid
D Palmitic acid

112 / 150

Which is an organelle that helps the sperm to penetrate the ovum?
A Megalis
B Zona pellucida
C Acrosome
D Both A & B

113 / 150

Which of the following imparts a red colour to Rose petals?
A Chloroplast
B Proplastids
C Chromoplast
D Leucoplast

114 / 150

Which of the following are the first group of invertebrates which havedeveloped a closed circulatory system?
A Nematodes
B Arthropods
C Annelids
D Molluscs

115 / 150

Where does the molecular mechanism of oxidative phosphorylation take place?
A Cytosol
B Mitochondria
C Nucleus
D All of these

116 / 150

Mitochondria and chloroplasts have their own DNA, which is similar to the DNA of:
A Protozoa
B Fungi
C Humans
D Bacteria

117 / 150

Intercostal muscles are found in:
A Ribs
B Pharynx
C Lungs
D Both B & C

118 / 150

Lysosomes are known as "suicidal bags" because of?
A Parasitic activity
B Presence of food vacuoles
C Hydrolytic activity
D Catalytic activity

119 / 150

Between the seminiferous tubules are interstitial cells that secrete which of the following hormones?
A Progesterone
B Estrogen
C Testosterone
D Oxytocin

120 / 150

Which of the following cell structures contains the highest concentration of RNA?
A Centriole
B Nucleus
C Nucleolus
D Mitochondria

121 / 150

Where does the human body store spermatozoa?
A Ejaculatory duct
B Seminal vesicle
C Seminiferous tubules
D Epididymis

122 / 150

Acetyl CoA completely oxidizes to Carbon dioxide and liberates .                                                                A NADH and FADH₂
B NADP and FADP
C ATP
D ATP, NADH, and FADHâ‚‚

123 / 150

Which of the following is not a viral disease?
A Smallpox
B Mumps
C Tetanus
D Cowpox

124 / 150

Which of these does not contain cartilage?
A Bronchioles
B Larynx
C Trachea
D Bronchi

125 / 150

A cell with a fully elastic wall is placed in a hypertonic solution. What
will not occur?
A Change in cell size and shape.                                                                                                                           B The whole cell will shrink.                                                                                                                                    C Cytoplasm shrinks from the cell wall and undergoes plasmolysis.                                                           D Decrease in cell size.

126 / 150

Active form of an enzyme:
A Coenzyme
B Apoenzyme
C Holoenzyme
D Proenzyme

127 / 150

The highly complex duct system in the male is called:
A Scrotum
B Seminiferous tubules
C Prepuce
D Epididymis

128 / 150

The random change in allele frequencies is known as?
A Genetic drift
B Diversity
C Linkage
D All of these

129 / 150

The floor of the chest is called:
A Alveoli
B Trachea
C Diaphragm
D Bronchi

130 / 150

The pleural membranes cover which organ?
A Kidney
B Heart
C Brain
D Lungs

131 / 150

Ribonucleoprotein particles are the name of?
A RNA
B DNA
C Nucleus
D Eukaryotic ribosomes

132 / 150

Where the heterozygote is indistinguishable from one of the
homozygotes the allele involved is said to be?
A Recessive
B Dominant
C Both a and b
D None of these

133 / 150

The word Archaebacteria is derived from a Greek word which means?                                                       A True bacteria
B Ancient bacteria
C False bacteria
D Both A & B

134 / 150

The large number of bundle fibers that joins the left and right cerebral
hemispheres is called:
A Broca's area
B Lateral sulcus
C Corpus callosum
D Thalamus

135 / 150

One of the functions of the Neuroglial cells is to protect and support
which of the following?
A Nephrons
B Myoid cells
C Neurons
D None of these

136 / 150

The number of chromosomes in a zygote are?
A n
B 2n
C 3n
D 4n

137 / 150

Respiration involves the:
A Chemical process
B Biochemical process
C Mechanical process
D Both B & C

138 / 150

The photoelectric effect, a phenomenon where electrons are emitted from a material when light shines on it, provided crucial evidence for the quantum nature of light. Classical wave theory of light failed to explain several
aspects of this effect, such as the existence of a threshold frequency and the instantaneous emission of electrons. Albert Einstein, building on Planck's
quantum hypothesis, proposed that light consists of discrete packets of
energy called photons, with the energy of each photon directly proportional
to its frequency.

Which of the following aspects of the photoelectric effect
cannot be explained by the classical wave theory of light?
A) The intensity of light affecting the number of emitted electrons.                                                             B) The kinetic energy of emitted electrons depending on the frequency of
light.                                                                                                                                                                          C) The increase in current with increasing light intensity.                                                                            D) The absorption of light energy by the material.

139 / 150

Niels Bohr's model of the atom, while superseded by more advanced
quantum mechanical models, was a significant step in understanding atomic structure. Bohr proposed that electrons orbit the nucleus in specific, quantized energy levels or "stationary states" without radiating energy. Electrons can only transition between these levels by absorbing or emitting discrete amounts of energy, corresponding to the energy difference between the levels. This model successfully explained the spectral lines of hydrogen.

According to Bohr's model, what happens when an electrontransitions from a higher energy level to a lower energy level?
A) It gains energy.                                                                                                                                                       B) It emits a photon.                                                                                                                                             C) It radiates continuous electromagnetic waves.                                                                                            D) It moves to a larger orbital radius.

140 / 150

De Broglie's hypothesis of matter waves proposed that particles, like
electrons, exhibit wave-like properties. The wavelength associated with aparticle is inversely proportional to its momentum, given by the de Broglie wave length formula,  = ℎ/, where ℎ is Planck's constant and  is the
momentum. This revolutionary idea was experimentally confirmed by the electron diffraction experiments, demonstrating the wave-particle duality of
matter.

If the momentum of an electron is doubled, what happens toitsde Broglie wavelength?
A) It is quadrupled.                                                                                                                                                   B) It is halved.                                                                                                                                                        C) It remains the same.                                                                                                                                         D) It is doubled.

141 / 150

142 / 150

Quantum tunneling is a quantum mechanical phenomenon where a particle can penetrate a potential energy barrier even if its kinetic energy is less than the barrier's height. This is impossible according to classical physics. The probability of tunneling depends on the height and width of the barrier, and the mass of the particle. Quantum tunneling has practical applications in various technologies, including scanning tunneling microscopes and nuclear
fusion in stars

In classical physics, what is required for a particle to overcomeapotential energy barrier?
A) Its kinetic energy must be less than the barrier's height.                                                                           B) It must have zero momentum.                                                                                                                      C) Its kinetic energy must be greater than or equal to the barrier's height.                                              D) It must be a massless particle.

143 / 150

The concept of spin is an intrinsic angular momentum possessed by
elementary particles, analogous to but distinct from classical angular
momentum. It is a purely quantum mechanical property and does not arise from the particle's physical rotation. Electrons, protons, and neutrons all
have a spin of 1/2. The spin of a particle gives rise to a magnetic dipole
moment, which interacts with magnetic fields.

Which of the following is a fundamental characteristic of
electron spin?
A) It is due to the electron's physical rotation around its axis.                                                                      B) It is a classical property.                                                                                                                                   C) It is an intrinsic angular momentum.                                                                                                          D) It has a value of 1.

144 / 150

Quantum entanglement is a peculiar phenomenon where two or more particles become linked in such a way that the quantum state of each particlecannot be described independently of the others, even when separatedbylarge distances. Measuring the state of one entangled particle
instantaneously influences the state of the other(s). This non-local
correlation is a cornerstone of quantum information science and has
potential applications in quantum computing and cryptography.

What is a defining characteristic of quantumentanglement?
A) Particles can be described independently of each other.                                                                          B) Measuring one entangled particle has no effect on the others.                                                               C) The quantum states of entangled particles are linked, regardless of
distance.                                                                                                                                                                        D) It only occurs when particles are in direct contact.

145 / 150

146 / 150

Quantization of energy is a core principle in quantum mechanics, meaning that energy can only exist in discrete, specific values rather than a continuous range. This was first proposed by Max Planck to explain black- body radiation, and later applied by Bohr to atomic energy levels. This
concept fundamentally changed our understanding of energy at the atomic and subatomic scales, leading to the development of quantum mechanics.

In the context of quantum mechanics, what does "quantizationof energy" imply?
A) Energy can take any continuous value.                                                                                                        B) Energy exists only in specific, discrete packets.                                                                                          C) Energy is conserved in all processes.                                                                                                                D) Energy is directly proportional to temperature.

147 / 150

Lasers operate on the principle of stimulated emission, a quantum mechanical process where an excited electron is induced to emit a photon by an incoming photon of the same energy. This emitted photon has the same phase, direction, and energy as the stimulating photon, leading to coherent
and monochromatic light. This process is crucial for the amplification of
light in laser devices

What is the key quantum phenomenon responsible for light
amplification in a laser?
A) Spontaneous emission.                                                                                                                                       B) Absorption.                                                                                                                                                           C) Stimulated emission.                                                                                                                                       D) Reflection.

148 / 150

Inhibitors which block the enzyme by forming a weak bond are called?
A Competitive inhibitors
B Non-competitive inhibitors
C Irreversible inhibitors
D Both A & B

149 / 150

Assuming that blood type is not a sex-linked trait, what is the probability that a mother with genotype "A/O" and a father with genotype "A/B" will
have a child with type B blood?
A 50%
B 25%
C 75%
D 11%

150 / 150

Which of the following is NOT an example of evidence supporting the
endosymbiotic theory?
A Mitochondria and other plastids multiply by binary fission.                                                                      B Mitochondria contain their own DNA, which is a single circular
chromosome.                                                                                                                                                              C Mitochondria have their own ribosomes, which are 80s.                                                                            D None of these

Your score is

The average score is 37%

0%

Leave a Reply

Your email address will not be published. Required fields are marked *

You cannot copy content of this page

error: Content is protected !!