PASS UET-ECAT MOCK TEST 10 2026

Shape Image One

PASS EDUCATION SYSTEM PASS UET QUIZ PAST PAPER MCQ’S

PASS UET-ECAT MOCK TEST # 10

1 / 150

A cofactor made of an inorganic ion which is detachable is called?
A) Prosthetic group
B) Coenzyme
C) Activator
D) Cofactor

2 / 150

In seminiferous tubules, repeated division of the germinal epithelium produce?
A) Oogonia
B) Spermatogonia
C) Ovogonia
D) Spermatocyte

3 / 150

The loss of liquid via the hydathodes is called:
A) Ascent of sap
B) Plasmolysis
C) Imbibition
D) Guttation

4 / 150

Cooperation of the two photosystems of the chloroplast is required for _________.                          A) ATP synthesis
B) Reduction of NADP
C) Cyclic photophosphorylation
D) Oxidation of the reaction center of photosystem I

5 / 150

The dense fluid-filled region in the chloroplast is?
A) Grana
B) Stroma
C) Thylakoid
D) Intergrana

6 / 150

Which of these cell organelles are involved in the synthesis of new plant cell
walls?
A) Rough endoplasmic reticulum
B) Smooth endoplasmic reticulum
C) Golgi complex
D) Cell membrane

7 / 150

The target cells of this hormone are present in kidney tubules.                                                                   A) Aldosterone
B) Corticosterone
C) ADH
D) Noradrenaline

8 / 150

Human immunodeficiency virus is:
A) An RNA enveloped virus
B) A DNA enveloped virus
C) An RNA non-enveloped virus
D) An DNA non-enveloped virus

9 / 150

Golgi complex was discovered by which scientist?
A) Robert Brown
B) Camillo Golgi
C) De Duve
D) Robert Hooke

10 / 150

Which among the following lacks the nervous system?
A) Flatworms
B) Annelida
C) Cnidaria
D) Sponge

11 / 150

In non-competitive inhibition, the extent of inhibition depends only on?
A) Concentration of enzyme
B) Concentration of substrate
C) Concentration of ES complex
D) Concentration of inhibitor

12 / 150

Which of the following was the first virus isolated and studied under the electron microscope:
A) HIV
B) Rabies Virus
C) Pox viruses
D) TMV

13 / 150

Which of the following chemical activity is involved in the conversion of
pyruvate into acetaldehyde during aerobic respiration?
A) Reduction
B) Decarboxylation
C) Oxidation
D) Phosphorylation

14 / 150

Which cell organelle is incorrectly matched with its function?
A) Chloroplast – carbon fixation
B) Mitochondria – ATP synthesis
C) Cell membrane – cell recognition
D) Golgi apparatus – intracellular digestion

15 / 150

The reflexes such as vomiting, coughing, and sneezing are controlled by which of the following?
A) Pons
B) Cerebrum
C) Cerebellum
D) Medulla oblongata

16 / 150

Which of the following binds with an enzyme, other than the active site?                                                A) Activator
B) Substrate
C) Competitive inhibitor
D) All

17 / 150

Which method of gaining immunity can be described as natural active
immunity?
A) Feeding on colostrum
B) Inhaling the chicken pox virus
C) Injection with antibodies
D) Through the placenta

18 / 150

Scapula is a:
A) Tail bone
B) Hip bone
C) Skull bone
D) Shoulder bone

19 / 150

The enzymes required in glycolysis are present in:
A) Golgi apparatus
B) Cell cytoplasm
C) Inner mitochondrial membrane
D) Matrix of mitochondria

20 / 150

A non-protein part essential for proper and essential functioning of an enzyme is called:
A) Additional factor
B) Cofactor
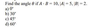
C) Efficient cofactor
D) Extra factor

21 / 150

The hormone which controls the uptake of the sodium ions in the kidneyandits maintenance in blood plasma is:
A) Somatotrophic hormones
B) Aldosterone hormones
C) Gonadotrophic hormones
D) Thyroxin hormones

22 / 150

Which of the following represents an empirical formula?
a) C₂H₆
b) C₆H₁₂O₆
c) CH₂O
d) H₂O₂

23 / 150

Which of the following gases has the highest rate of diffusion?
a) Argon (Ar)
b) Carbon dioxide (CO₂)
c) Oxygen (O₂)
d) Helium (He)

24 / 150

The process by which a solid changes into a gas and then back intoasolid without passing through the liquid state is called:
a) Condensation
b) Evaporation
c) Sublimation
d) Fusion

25 / 150

The process by which a solid changes into a gas and then back intoasolid without passing through the liquid state is called:
a) Condensation
b) Evaporation
c) Sublimation
d) Fusion

26 / 150

Which one of the following is a crystalline solid?
a) Quartz (SiO₂)
b) Glass
c) Rubber
d) Plastic

27 / 150

Which one of the following is an aromatic hydrocarbon?
a) Methane
b) Ethene
c) Benzene
d) Cyclohexane

28 / 150

What is the IUPAC name of CH₃-CH=CH-CH₃?
a) Propene
b) Butane
c) Butene
d) Ethene

29 / 150

Oxidation of alcohols occurs in the presence of:
a) H₂SO₄
b) NaCl
c) NaOH
d) KMnO₄

30 / 150

Which device is used to convert chemical energy into electrical
energy?
a) Generator
b) Battery
c) Transformer
d) Capacitor

31 / 150

An element "V" reacts with O₂ to form a compound with an empirical
formula. What does the empirical formula represent?
a) The exact number of atoms in the molecule
b) The simplest whole-number ratio of atoms in the compound                                                                  c) The molecular mass of the compound
d) The structural arrangement of atoms

32 / 150

What type of bond is present in NaCl?
a) Covalent bond
b) Ionic bond
c) Metallic bond
d) Hydrogen bond

33 / 150

The conversion of an ester to a carboxylic acid occurs through which reaction?
a) Hydrogenation
b) Hydrolysis
c) Oxidation
d) Reduction

34 / 150

Which of the following is an example of a crystalline solid?
a) Glass
b) Rubber
c) Quartz (SiO₂)
d) Plastic

35 / 150

What is the hybridization of ethyne (C₂H₂)?
a) sp³
b) sp²
c) sp
d) sp³d

36 / 150

What is the name of the structural formula of butane (C₄H₁₀)?
a) Alkene
b) Alkyne
c) Alkane
d) Aromatic compound

37 / 150

What is the functional group of aldehydes?
a) –OH
b) –COOH
c) –CHO
d) –NH₂

38 / 150

Halogens exist as:
a) Monoatomic
b) Diatomic
c) Triatomic
d) Polyatomic

39 / 150

Alkenes are converted into alkynes by the process of:
a) Hydrogenation
b) Halogenation
c) Dehydrohalogenation
d) Hydration

40 / 150

Which type of solid has the least melting point?
a) Covalent network solids
b) Molecular solids
c) Ionic solids
d) Metallic solids

41 / 150

What is the hybridization of C₂H₂ (ethyne)?
a) sp
b) sp²
c) sp³
d) None of these

42 / 150

If the simplest whole-number ratio of a compound containing element
Y and oxygen is required, which of the following represents its
empirical formula?
a) YO
b) YO₂
c) Y₂O₃
d) Y₃O₂

43 / 150

Which reagent is commonly used in the oxidation of aldehydes?
a) H₂SO₄
b) H₂O₂
c) NaCl
d) NH₃

44 / 150

Oxidation of alcohols occurs in the presence of:
a) H₂SO₄
b) NaCl
c) NaOH
d) KMnO₄

45 / 150

The process of converting chemical energy into electrical energy is
called?
a) Fuel cell
b) Galvanic cell
c) Electrolytic cell
d) Transformer

46 / 150

In which condition does no more solute dissolve in a solution?
a) Dilute
b) Saturation
c) Supersaturation
d) Unsaturated

47 / 150

The conversion of ether into carboxylic acid occurs through which process?
a) Hydrogenation
b) Oxidation
c) Hydrolysis
d) Reduction

48 / 150

The process in which a solid directly changes into a gas without
passing through the liquid state is called:
a) Evaporation
b) Condensation
c) Sublimation
d) Melting

49 / 150

Which of the following is a crystalline solid?
a) Glass
b) Rubber
c) Quartz (SiO₂)
d) Plastic

50 / 150

What is the functional group of aldehydes?
a) –OH
b) –COOH
c) –CHO
d) –NH₂

51 / 150

Carboxylic acid is converted into an ester by which reaction?
a) Oxidation
b) Esterification
c) Reduction
d) Hydrolysis

52 / 150

Which device converts chemical energy into electrical energy?
a) Generator
b) Battery
c) Transformer
d) Capacitor

53 / 150

If one word consists of 4 bytes, how many words can be storedin500GB?
(A) 125 × 10⁹ words
(B) 250 × 10⁹ words
(C) 500 × 10⁹ words
(D) 1000 × 10⁹ words

54 / 150

Why are different types of files used in databases?
A) To store data more efficiently
B) To improve performance and manageability
C) To support different types of database operations
D) All of the above

55 / 150

If the variable NUM is an integer, which printf format specifiershould be used to print its value?
A) printf("%d", NUM);
B) printf("%f", NUM);
C) printf("%x", NUM);
D) None of the above

56 / 150

Which type of virus executes in the middle of a programand modifiesits execution?
A) Boot Sector Virus
B) File Infector Virus
C) Macro Virus
D) Resident Virus

57 / 150

Hub is used to connect nodes in which network topology?
A) Star
B) Bus
C) Mesh
D) Ring

58 / 150

Satellites use which type of waves to communicate?
A) Infrared
B) Microwaves
C) X-rays
D) Radio waves

59 / 150

Customized software is used for?
A) For operating system
B) For different tasks
C) These are designed according to the specific requirements of the user
D) None of the above

60 / 150

Which of the following is used to control and manage hardware
devices?
A) Device Linking
B) Device Driver
C) Device Manager
D) Device Controller

61 / 150

500GB in MB will be?
A) 500 × 1024 MB
B) 500 × 1000 MB
C) 500 × 1048 MB
D) 500 × 1012 MB

62 / 150

Which OSI layer is responsible for representing data in a readable for mat?
A) Physical Layer
B) Presentation Layer
C) Data Link Layer
D) Transport Layer

63 / 150

What is used to connect multiple networks together?
A) Star
B) Ring
C) Mesh
D) Bus

64 / 150

If 500GB can be converted to MB, then find x in the given equation:
500GB = x MB
A) x = 500 × 1000
B) x = 500 × 1024
C) x = 500 × 1048
D) x = 500 × 1012

65 / 150

An alphanumeric data type is used to store which type of values?
A) Only numbers
B) Only letters
C) Both letters and numbers
D) Only special characters

66 / 150

Which is the best method for data transmission in a Token Ring net work?
A) CSMA/CD (Carrier Sense Multiple Access with Collision
Detection)
B) CSMA/CA (Carrier Sense Multiple Access with Collision
Avoidance)
C) Token Passing Scheme
D) Polling

67 / 150

Which type of network covers an area under a city?
A) WAN (Wide Area Network)
B) MAN (Metropolitan Area Network)
C) LAN (Local Area Network)
D) PAN (Personal Area Network)

68 / 150

If there are 4 bits in one word, then how many bits are there in 1GB?                                                       A) 1 × 8 × 1024 × 1024 × 1024 × 4
B) 1 × 1024 × 1024 × 1024 × 4
C) 1 × 1000 × 1000 × 1000 × 4
D) 1 × 1024 × 1000 × 1000 × 4

69 / 150

Which type of cable uses light signals for data transmission?
A) Twisted Pair Cable
B) Coaxial Cable
C) Fiber Optic Cable
D) Ethernet Cable

70 / 150

Hub is used to connect nodes in which topology?
A) Star
B) Bus
C) Mesh
D) Ring

71 / 150

How many MB are there in 2GB?
A) 2000 MB
B) 2024 MB
C) 2048 MB
D) 1024 MB

72 / 150

How many Bytes are there in 1GB?
A) 1 × 1000 × 1000 × 1000 Bytes
B) 1 × 1024 × 1024 × 1024 Bytes
C) 1 × 1024 × 1000 × 1000 Bytes
D) 1 × 1000 × 1024 × 1024 Bytes

73 / 150

Convert 500GB into MB. 500 × 1000 MB
A) 500 × 1024 MB
B) 500 × 1048 MB
C) 500 × 1012 MB

74 / 150

Convert 1024 Bytes into KB.                                                                                                                                A) 1 KB
B) 8 KB
C) 1024 KB
D) 0.5 KB

75 / 150

Artificial satellites use which type of waves to communicate?
A) Infrared Waves
B) Microwaves
C) X-rays
D) Ultraviolet Waves

76 / 150

Which format specifier is used in C to print the address of a variable?                                                          (A) %d
(B) %s
(C) %p
(D) %f

77 / 150

What happens if an unauthorized person accesses the data?
(A) The person may halt the data.                                                                                                                       (B) The data will be stored in a long file.                                                                                                           (C) The data can be processed.                                                                                                                          (D) It may lead to a security breach.

78 / 150

What is the purpose of a device driver in a computer?
(A) To operate system software
(B) To enable communication between hardware and the operating system
(C) To increase the speed of the processor
(D) To store data permanently

79 / 150

What is the function of input devices in a computer?
(A) They display information to the user.                                                                                                        (B) They process data and generate output.                                                                                                       (C) They send data and instructions to the computer for processing.                                                      (D) They store data permanently.

80 / 150

What is the purpose of custom-built software?
(A) It is pre-defined and used by everyone.                                                                                                        (B) It is specifically designed to meet the needs of a particular user or
organization.                                                                                                                                                               (C) It is a type of hardware component.                                                                                                           (D) It is used only for gaming purposes.

81 / 150

What is the purpose of application software?
(A) To manage hardware components of a computer
(B) To help users perform specific tasks such as word processing or
browsing
(C) To operate and control system hardware
(D) To convert programming languages into machine code

82 / 150

Black holes are regions of spacetime where gravity is so strong that
nothing—no particles or even electromagnetic radiation such as light—canescape from them. The theory of general relativity predicts that a sufficientlycompact mass can deform spacetime to form a black hole. The boundaryof
the region from which no escape is possible is called the event horizon.

: Which of the following best defines the event horizon of a
black hole?
a) The center of the black hole where gravity is strongest.                                                                             b) The boundary beyond which light cannot escape.                                                                                     c) The point at which a star collapses to form a black hole.                                                                         d) The region where new particles are created.

83 / 150

While black holes are often portrayed as cosmic vacuum cleaners, suck in gup everything in their path, they do not actively "suck" in the way a vacuum cleaner does. Instead, objects must cross the event horizon to be truly trapped. Outside the event horizon, objects can orbit a black hole just as
planets orbit a star

According to the passage, why is the analogy of a "cosmic
vacuum cleaner" misleading for black holes?
a) Black holes only consume gas and dust, not larger objects.                                                                     b) Objects must cross the event horizon to be trapped, they are not actively pulled in from afar.       c) Black holes repel objects that come too close.                                                                                            d) Black holes primarily emit radiation, rather than absorbing matter.

84 / 150

The existence of black holes is strongly supported by astronomical
observations, particularly of X-ray emissions from binary star systems andthe motion of stars near galactic centers. These observations provide indirect
evidence for the presence of extremely compact, massive objects that fit the theoretical description of black holes.

What kind of astronomical observations provide evidence for
the existence of black holes?
a) Direct imaging of the black hole's surface.                                                                                                   b) X-ray emissions from binary star systems and stellar motion near galactic centers.                         c) Detection of gravitational waves from distant galaxies.                                                                            d) Analysis of the chemical composition of interstellar gas

85 / 150

Black holes are generally classified into four types based on their mass:
stellar black holes, intermediate-mass black holes, supermassive blackholes, and primordial black holes. Stellar black holes form from the gravitational
collapse of massive stars, typically possessing masses a few times that of our
Sun.

What is the primary method of formation for stellar blackholes?                                                                a) The collision of two neutron stars.                                                                                                                 b) The accretion of matter onto a white dwarf.                                                                                                c) The gravitational collapse of a massive star.                                                                                                  d) The explosion of a supernova remnant.

86 / 150

Supermassive black holes reside at the centers of most galaxies, in cludingour own Milky Way. Sagittarius A* (pronounced "Sagittarius A-star") is the super massive black hole at the center of the Milky Way, with a mass
estimated to be about 4 million times that of the Sun

Where are supermassive black holes typically found?
a) In the outer regions of galactic halos.                                                                                                                b) At the centers of most galaxies.                                                                                                                       c) Scattered throughout globular clusters.                                                                                                       d) In the empty voids between galaxy clusters.

87 / 150

Hawking radiation, proposed by Stephen Hawking, is a theoretical
prediction that black holes emit thermal radiation. This radiation is due to quantum effects near the event horizon. While yet to be directly observed, it
suggests that black holes are not entirely "black" and may eventually
evaporate over incredibly long timescales.

What does the theory of Hawking radiation suggest about blackholes?
a) They can be used as a source of clean energy.                                                                                              b) They eventually evaporate due to emitted thermal radiation.                                                                   c) They are composed primarily of dark matter.                                                                                             d) They are constantly growing in size without limit.

88 / 150

The singularity is the theoretical point at the center of a black hole where the density of matter and the spacetime curvature become infinite. This concept
arises from the predictions of general relativity, but it also indicates a
breakdown of the theory under such extreme conditions, suggesting the need for a more complete theory of quantum gravity.

What is a "singularity" in the context of a black hole?
a) The boundary where light escapes.                                                                                                                b) A point of infinite density and spacetime curvature.                                                                                   c) A region of intense X-ray emission.                                                                                                              d) The outer edge of the black hole's influence.

89 / 150

Accretion disks are formed around black holes when gas and dust from near by stars or interstellar clouds spiral inwards due to the black hole's
immense gravity. As the matter in the disk orbits faster and heats up, it emits intense X-rays, providing another indirect way to detect black holes.

How do accretion disks help in detecting black holes?
a) They reflect visible light, making the black hole visible.                                                                            b) They emit strong radio waves that can be directly observed.                                                                      c) The heated matter in the disk emits intense X-rays.                                                                                  d) They create a magnetic field that is easily measurable.

90 / 150

Tidal forces near a black hole can be incredibly strong. If an object, such as a star, gets too close, these forces can stretch it apart, a process sometimes
referred to as "spaghettification." This is due to the extreme difference in gravitational pull across the object's length

What phenomenon occurs when an object gets too close toablack hole due to extreme tidal forces?
a) Nuclear fusion.                                                                                                                                                   b) Spaghettification.                                                                                                                                              c) Stellar acceleration.                                                                                                                                            d) Galactic rotation

91 / 150

Tidal forces near a black hole can be incredibly strong. If an object, suchasa star, gets too close, these forces can stretch it apart, a process sometimes
referred to as "spaghettification." This is due to the extreme difference in gravitational pull across the object's length.

What phenomenon occurs when an object gets too close to  a black hole due to extreme tidal forces?
a) Nuclear fusion.                                                                                                                                                   b) Spaghettification.                                                                                                                                              c) Stellar acceleration.                                                                                                                                               d) Galactic rotation.

92 / 150

While the direct observation of a black hole's event horizon is impossible due to light not escaping, the Event Horizon Telescope (EHT) project has
succeeded in imaging the "shadow" of the supermassive black hole M87*. This shadow is caused by the bending of light around the black hole, providing strong visual evidence of its presence.

What did the Event Horizon Telescope (EHT) project
successfully image related to a black hole?
a) The direct surface of the black hole.                                                                                                               b) The shadow of a black hole.                                                                                                                            c) The gravitational waves emitted by a black hole.                                                                                             d) The accretion disk around a black hole in visible light.

93 / 150

Time-force graph shows:
a) Displacement
b) Acceleration
c) Force
d) Work

94 / 150

Velocity-time graph shows:
a) Displacement
b) Acceleration
c) Force
d) Work

95 / 150

Shape of velocity-time graph for constant acceleration is:
a) Straight line
b) Hyperbola
c) Ellipse
d) Parabola

96 / 150

A horse rider falls off when the horse stops suddenly due to:
a) Gravitational force
b) Inertia of motion
c) Friction
d) Elastic force

97 / 150

Power is the rate of:
a) Acceleration
b) Energy transfer
c) Mass increase
d) Displacement

98 / 150

Area under velocity-time graph gives:
a) Acceleration
b) Displacement
c) Force
d) Work

99 / 150

If velocity becomes half, the kinetic energy becomes:
a) Same
b) Double
c) One fourth
d) Four times

100 / 150

Displacement is a:
a) Scalar quantity
b) Vector quantity
c) Non-physical quantity
d) Constant quantity

101 / 150

A shaft turns through 5π radians and work is 25π J. Find the torque:
a) 2 Nm
b) 3 Nm
c) 5 Nm
d) 10 Nm

102 / 150

A car moves at 30 m/s, brakes suddenly. Friction = 6000 N. Find distance:
a) 60 m
b) 75 m
c) 90 m
d) 120 m

103 / 150

Power = 10 kW, Torque = 25π Nm. Find angular speed:
a) 8 rad/s
b) 10 rad/s
c) 12.73 rad/s
d) 15 rad/s

104 / 150

While swimming, which law is obeyed?
a) Newton's First Law
b) Newton's Second Law
c) Newton's Third Law
d) Law of Inertia

105 / 150

A ball strikes and rebounds. What happens to momentum?
a) Remains same
b) Changes direction
c) Doubles
d) Becomes zero

106 / 150

When temperature increases, thermal conductivity of metals:
a) Increases
b) Decreases
c) Remains constant
d) First increases then decreases

107 / 150

Which solids have highest M.P and B.P?
a) Ionic solids
b) Molecular solids
c) Covalent solids
d) Metallic solids

108 / 150

P.E. is max when spring is:
a) At natural length
b) Compressed
c) Stretched
d) Both b and c

109 / 150

Radius of Earth is R, object thrown with half escape velocity. Height
reached is:
a) R
b) R/2
c) R/3
d) 2R

110 / 150

A body (1 ton) at 30 m/s stops, friction = 800 N. Find distance:
a) 450 m
b) 562.5 m
c) 600 m
d) 720 m

111 / 150

Resistivity of a semiconductor:
a) Increases with temperature
b) Decreases with temperature
c) Remains same
d) First increases then decreases

112 / 150

Power = 3000 W, time = 5 min. Find energy:
a) 15000 J
b) 90000 J
c) 150000 J
d) 120000 J

113 / 150

Power of motor is:
a) Energy used
b) Rate of doing work
c) Resistance offered
d) Work per force

114 / 150

Motor energy is:
a) Voltage applied
b) Current squared
c) Energy stored
d) Rate at which motor works

115 / 150

For maximum current in circuit (R is external, r internal):
a) R = r
b) R = r/2
c) r = R/2
d) R = 2r

116 / 150

Wire with resistance R, as temperature increases drift velocity:
a) Increases then decreases
b) Remains same
c) Decreases
d) First decreases then increases

117 / 150

If pressure of 80 kPa applied on sound wave:
a) Halved
b) Increased
c) Decreased
d) No effect

118 / 150

When electricity is used for chemical change:
a) Electrolysis
b) Galvanization
c) Enthalpy
d) Entropy

119 / 150

P.E. increases when:
a) Ball falls down
b) Spring compresses
c) Ball thrown upward
d) Spring released

120 / 150

When electron attracts another:
a) P.E. decreases
b) P.E. increases
c) Becomes zero
d) Doubles

121 / 150

Velocity halved, K.E. becomes:
a) Same
b) One fourth
c) Halved
d) Doubled

122 / 150

123 / 150

124 / 150

125 / 150

126 / 150

127 / 150

128 / 150

129 / 150

130 / 150

131 / 150

132 / 150

133 / 150

134 / 150

135 / 150

136 / 150

137 / 150

138 / 150

139 / 150

140 / 150

141 / 150

142 / 150

143 / 150

144 / 150

145 / 150

146 / 150

147 / 150

148 / 150

149 / 150

150 / 150

Your score is

The average score is 37%

0%

Leave a Reply

Your email address will not be published. Required fields are marked *

You cannot copy content of this page

error: Content is protected !!